
林下植物在调节森林生态系统的各种功能和过程中发挥着重要作用。然而,林下植物丧失对土壤性质的总体影响仍不清楚。通过整理全国543对控制实验数据,研究了森林生态系统中林下植被清除后对土壤有机碳、全氮和微生物的影响。
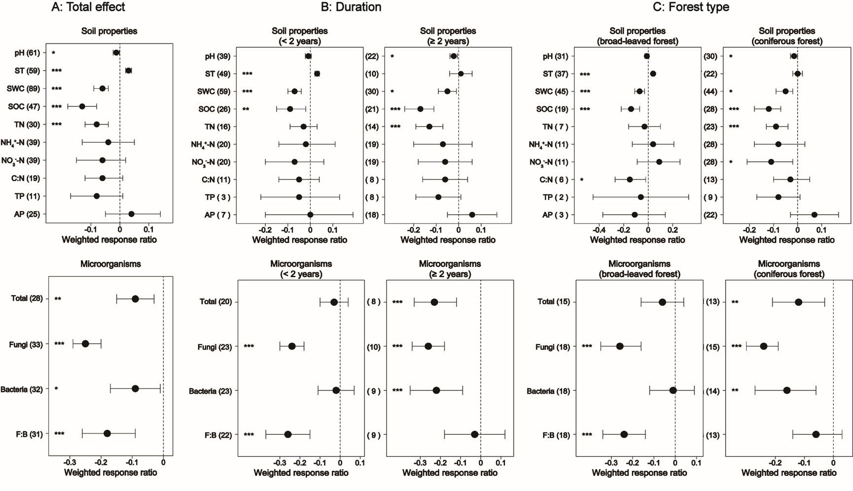
结果显示:清除林下植被后,土壤温度显著升高,土壤有机碳、全氮、土壤含水量、pH值和微生物生物量显著降低。其中,真菌对植物清除的反应比细菌更快,效应随着处理时间的延长而增加,阔叶林的负效应强于针叶林。随着年平均温度和降水量的降低,土壤水分、养分含量和微生物群落组成对林下植物清除的响应减弱。其次,环境因素包括实验持续时间、生态系统类型和纬度是解释林下植被移除对土壤性质影响的主要驱动因素。总的来说,我们的研究结果为全面了解清除林下植被对土壤生态过程的影响提供了科学依据,也为森林的林下植被管理提供科学参考。
上述研究成果以“A meta-analysis of understory plant removal impacts on soil properties in forest ecosystems”为题于近期发表在土壤生态学TOP期刊Geoderma (IF:7.422;论文链接:https://doi.org/10.1016/j.geoderma.2022.116116)。bat365中文官方网站2020级硕士研究生张淑婷为论文第一作者,研究组陈哲副研究员和研究生李德宝,杨雄,李思程为共同作者,吴建平教授为通讯作者。

图1:林下灌草去除对土壤性质的影响