
近日,bat365中文官方网站生态学与进化生物学实验室李庆军团队在植物学领域国际经典期刊《American Journal of Botany》在线发表研究论文 “Architectural effects regulate resource allocation within the inflorescences with nonlinear blooming patterns”。该论文成功验证了在非线性开花花序中,构建效应(Architectural effects)对资源配置发挥了主导作用。论文链接:https://doi.org/10.1002/ajb2.16001。
植物在整个生长发育过程中可用于生长、维持和繁殖的资源总是有限的,因此自然界中植物普遍受到资源限制。探究植物如何将有限的资源进行权衡并分配于生长、繁殖等各种功能,以达到更好的繁殖适合度,是理解植物花特征演化,性分配模式的重要手段,也是植物学家的研究热点。主要形成了资源竞争(resource competition)与构建效应(architectural effects)两个假说。资源竞争假说认为,花序中早开放的花可以优先获得更多的资源,而后开的花则在获取资源过程中处于不利地位。该假说可形象的理解为较早开放花朵对资源的获取存在“先到先得”现象。而构建效应假说则认为,花序中花朵的开放顺序与资源获取没有显著关系,而花朵距离资源库(根系)越近,获取的资源越多,距离越远,可获取的资源越少。该假说可形象的理解为花朵对资源的获取存在“近水楼台先得月”现象。但是以往的研究主要关注于线性开花植物类群(如开花顺序为向顶的,向基的,向心的植物),无法将资源竞争与构建效应对资源分配的作用进行有效区分。而非线性开花植物则为区分二者的作用提供了理想材料。
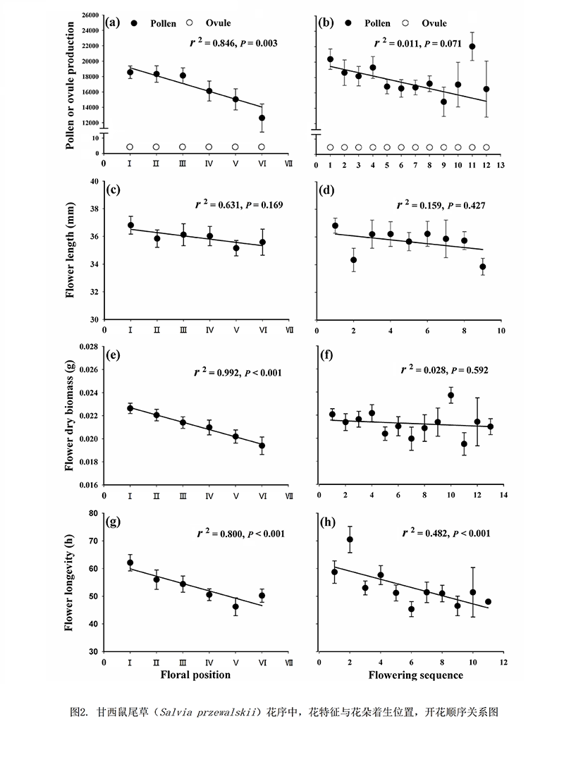
甘西鼠尾草(Salvia przewalskii)花朵开放顺序表现为典型的非线性格局,其花朵着生位置与开放顺序没有关联(图1)。通过调查发现,甘西鼠尾草花序中花粉胚珠比,花重量与花寿命均沿着花序从基部向顶部显著减小,而与开花顺序没有显著性关系(图2)。此外,在通过人工补充授粉与花蕾去除实验排除花粉与资源限制干扰后发现,甘西鼠尾草的种子产量,坐果率,花蕾发育成功率始终沿着花序基部向上显著减小(图3),然而在开花先后阶段之间没有明显差异(图4)。这些证据充分表明,非线性开花植物甘西鼠尾草的资源分配模式主要受构建效应影响,表现为“近水楼台先得月”现象。
该论文巧妙的运用甘西鼠尾草植物非线性开花的特性,清晰的验证了资源竞争与构建效应在植物资源分配过程中的作用,为进一步理解植物花特征的进化提供了有效参考。同时也证明花朵的固有特征会显著影响植物的性分配模式。bat365中文官方网站博士研究生王浩为第一作者,bat365中文官方网站李庆军研究员,助理研究员郭雯,硕士研究生王力平,甘肃农业大学副研究员张勃,香格里拉植物园副园长方烨为该论文共同作者,张志强副研究员为该论文的通讯作者。研究得到了国家自然科学基金、bat365中文官方网站“双一流”建设经费等的资助。



